
深井消防泵组是按照中华人民共和国消防泵标准GB6245-2006《消防泵性能要求和试验方法》开发的消防泵组。产品经机械工业产品质量检测中心(杭州)检测,各项性能指标全部达到标准要求,并获得消防产品认证证书。
深井消防泵组由多个离心式叶轮和导流壳、扬水管、传动轴、泵座、电动机等部件组成。泵座和电机位于水池上方,电动机的动力通过与扬水管同心的传动轴传递给叶轮轴,从而产生流量和压力。
立式结构
本系列泵为立式多级取水设备,占地面积小,工作部件可伸至百米以下提取流体介质,有多种驱动方式;
多种工况
根据抽送介质等使用条件的不同,可提供不同材料、不同结构和不同要求的电机以满足客户的各种工况需求;
结构紧凑
具有流量范围大、扬程高、结构紧凑、运行稳定等特点。
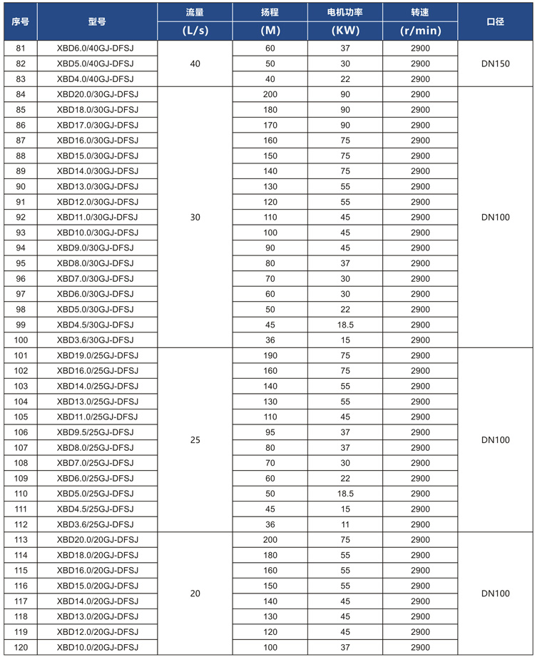
参数说明
配套功率范围:3~200KW
额定转速:2900r/min
配套功率范围:3~200KW
额定转速:2900r/min





