
立式多级消防泵组、立式多级消防稳压泵组是参照参照中华人民共和国消防泵标准GB6245-2006《消防泵性能要求和试验方法》之规定,结合本公司多年的生产实践经验,参考现代优秀的水利模型设计而成,专门用于消防系统的离心泵,产品性能优越。产品经机械工业产品质量检测中心(杭州)检测,各项性能指标全部达到标准要求,并获得消防产品认证证书。
立式结构
本泵为立式、多级节段式结构,泵进出水法兰处在同一水平轴线上,且口径规格相同,便于管道连接,装卸极为方便;
水力平衡
叶轮采用水力平衡方式平衡轴向力泵下端有一导轴承,轴通过夹壳联轴器与电机轴固定传动,外筒为不锈钢筒;
密封可靠
轴封采用硬质合金机械密封,无渗漏,对轴无磨损;
延长寿命
叶轮及转动摩擦件均采用合金制造,耐腐蚀,不生锈,同时可避免产生锈水,堵塞喷淋等消防器件,延长了泵的使用寿命;
参数说明
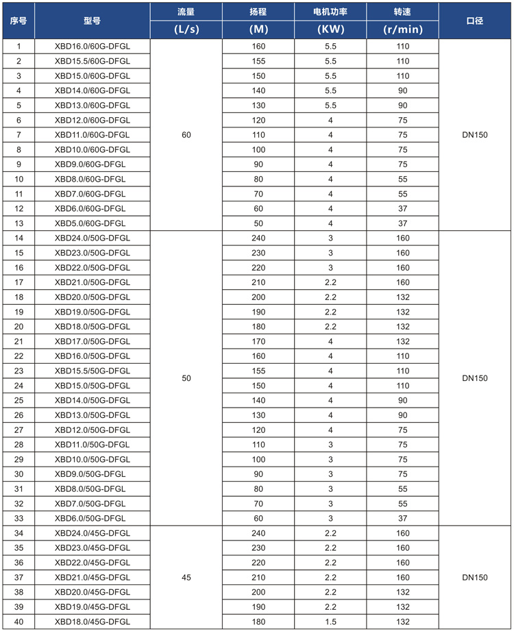
输送液体的流量范围:1~40L/s
扬程范围:30~220m
配套功率范围:0.75~160Kw
配套功率范围:0.75~160KW










